Timing of Early Angiography in Non-ST Elevation Acute Coronary Syndrome
Abstract: Objectives. We aimed to determine the best time period for an early invasive intervention in non-ST elevation acute coronary syndrome (NSTEACS) patients. Background. Studies assessing the timing of percutaneous coronary intervention (PCI) in patients with NSTEACS have failed to generate a consensus on when PCI should be performed in such patients. Methods. Literature searches were conducted for randomized, controlled trials (RCTs) on NSTEACS from 1970 through September 2012. Patients were analyzed who were at moderate to high risk for NSTEACS and who underwent angiography within 96 hours. The major outcomes were the rate of death, recurrent myocardial infarction (re-MI), stroke, and major bleeding. Results. Eight RCTs, which included 5761 patients, were eligible. There were no significant differences in the odds of death or stroke between time points. Conversely, patients undergoing angiography before 2 hours were associated with a higher rate of re-MI, compared with those undergoing angiography more than 2 hours later (odds ratio [OR], 2.15; 95% confidence interval [CI], 1.53-3.02; P<.001; I2 = 0%). Major bleeding events decreased only with angiography performed within 12 hours, compared to more than 12 hours (OR, 0.65; 95% CI, 0.44-0.96; P=.03; I2 = 0%). Angiography before 2 hours was not associated with a lower rate of major bleeding compared with angiography after 2 hours (OR, 0.61; 95% CI, 0.28-1.30; P=.20; I2 = 0%). Conclusions. Angiography within 12 hours reduces the risk of major bleeding. There is no need to push for angiography within 2 hours.
J INVASIVE CARDIOL 2014;26(2):47-54
Key words: non-ST elevation acute coronary syndrome, angiography, percutaneous coronary intervention, timing
___________________________
Although ST-elevation acute coronary syndrome (STEMI) receives a great deal of attention, non-ST elevation acute coronary syndrome (NSTEACS) accounts for 3 out of 4 acute coronary syndrome hospital discharges. The timing of intervention in NSTEACS has been correlated with patient prognosis;1 thus, optimal timing has become a hot topic in recent years.
Although early trials such as TACTICS-TIMI-18 did not identify a benefit to early intervention,2 that might have been due to the insufficiency of strengthened antiplatelet therapy. Later, a 5-year follow-up analysis of individual patient data from the FRISC II, ICTUS, and RITA-3 trials with NSTEACS showed that the technique of angiography had no association between angiography-related myocardial infarction (MI) and long-term cardiovascular mortality.3 Moreover, over the last decade, several important advances in the management of NSTEACS, such as the use of newer antiplatelet agents (thienopyridines, glycoprotein IIb/IIIa inhibitors) and percutaneous coronary intervention (PCI), have resulted in improved outcomes in patients with NSTEACS.4,5 Therefore, early invasive intervention is now recommended, in both the American Heart Association (AHA)6 and European Society of Cardiology (ESC) guidelines, for patients at moderate or high risk for NSTEACS.7
Despite these recommendations, the concept of “early” intervention has not been well delineated because it has been variously defined in different trials (from several hours to several days). The latest American College of Cardiology Foundation (ACCF)/AHA guideline considers the early time period to be within the first 24 hours, with a class-I level-A recommendation.6 Correspondingly, the ESC has suggested early intervention, preferably within 72 hours of admission and within 12-24 hours in high-risk patients with a class-II level-A recommendation.7 Our previous non-randomized controlled trials indicated that intervention following NSTEACS should be undertaken within 24 hours; however, immediate angiography (within <3 hours) does not provide any benefit and can even be harmful.8
Recently, the newly published LIPSIA-NSTEMI9 study and other randomized controlled trials10,11 addressed this issue, but their sample sizes were relatively small. To address this deficiency, we conducted a systematic review of all randomized controlled trials (RCTs) that examined the timing of angiography in moderate- or high-risk NSTEACS cases. We aimed to determine the time period for early invasive management in which NSTEACS patients derived the greatest benefit and were exposed to the least risk.
Methods
Review questions and study protocol. Our systematic review was conducted according to the methods recommended by published guidelines for meta-analyses.12 We attempted to address the following question: what is the cut-off time point at which NSTEACS patients will derive the greatest benefit with early invasive management? Possible eligible studies were identified through a MEDLINE literature search (through September 2012), using the following keywords: acute coronary syndrome, unstable coronary syndrome, unstable angina, non-STEMI, non-ST-elevation, random*, timing, immediate, early, and delay. Furthermore, we searched Google Scholar, the Clinical Trials Registry (www.clinicaltrials.gov), and the Current Controlled Trials Registry (www.controlled-trials.com) for unpublished studies and the internet for relevant abstracts/presentations from major cardiology meetings. For each eligible published study, we also screened its references and its citations (ISI Web of Science).
Studies that were included in this meta-analysis were RCTs that examined the timing of angiography and revascularization in moderate- or high-risk NSTEACS cases. Stratification was applied according to angiography timing, and only early invasive strategies were included (within 96 hours). Initially, selected citations were screened at the title/abstract level, and if potentially relevant, they were retrieved as complete manuscripts and were assessed for compliance with the following inclusion criteria: (1) moderate- or high-risk NSTEACS patients (symptoms consistent with acute ischemia and one of the following: ST-segment depression, transient ST-segment elevation, or positive cardiac marker levels greater than the upper limit of normal); (2) comparison according to the timing of angiography after hospital admission or randomization; (3) early angiography performed within a mean of 96 hours; and (4) angiography used in combination with standard medical treatment in each group. The exclusion criteria were as follows: (1) compared invasive versus conservative strategies (routine versus selective intervention) for the management of NSTEACS; (2) fewer than 2 time point groups or a lack of optimal medical treatment (OPT); (3) post hoc RCTs; (4) included >5% of patients with STEMI; and (5) duplicate, ongoing, or unpublished studies. There were no restrictions according to year of publication or language.
Data extraction and assessment of risk of bias. For data extraction, we scrutinized the main articles, any accompanying supplemental material, and any published secondary analyses, if available. We systematically recorded study characteristics, patient demographics, risk factors for coronary artery disease, and previous cardiac history. We also recorded the medical therapy administered to the patients, the time needed from admission or randomization to angiography in each group, and the number of occurrences of the following outcomes: all-cause death, re-MI, major bleeding, and stroke. Re-MI was defined as a new ischemic event that local investigators deemed to be unrelated to the initial presenting ischemic event. Major bleeding included spontaneous, PCI-related, or CABG-related bleeding and was defined as intracranial/retroperitoneal hemorrhage or if there were clinically significant, overt signs of hemorrhage associated with a drop in hemoglobin of >2 mmol/L and the need for at least 1 unit of blood or for surgical intervention. In cases in which patients had multiple endpoint events, each event was counted as 1 event.
Data extraction was performed based on the intention-to-treat principle. Trials were grouped according to angiography timing: <2, <12, <24, and >48 hours. Intergroup analyses of time parameters were based on changes from baseline to 1 month and on 6- to 12-month follow-up. In cases of missing or unclear data for the endpoints, at least 2 separate attempts at least 3 weeks apart were made to clarify the data by contacting the primary authors. Two authors independently extracted the data using a preconstructed form. Disagreements were resolved by consensus and arbitration by two other authors.
Statistical analysis. A detailed meta-analysis was conducted. Data from each time period were compared using random-effects meta-analysis. We pooled these outcomes across the included trials, and odds ratios (ORs) with 95% confidence interval (CIs) were used to express the pooled effects on the occurrence of endpoints. We estimated the proportion of between-study inconsistency due to true differences between studies using the I2 statistic.13 We also used funnel plots to explore publication bias. Revman software (version 5) was used for all of the analyses. P-values were two-tailed. The presentation of this meta-analysis complies with the PRISMA checklist.12
Study bias and/or publication bias was appraised using visual inspection of a funnel plot and with the Egger test. The Egger method linearly plots the standard normal deviation and the precision (1/SE of the OR) as independent variables, with test results based on the P-value of the regression constant.
Sensitivity analyses were conducted to evaluate the robustness of our results. We removed each
study individually to evaluate that study’s effect on the summary estimates.
Results
Search results. The initial search identified 1026 articles (Figure 1); after screening, a total of 13 studies were included with PCI performed within 96 hours, 2 were excluded due to having more than 5% STEMI patients (MATE14) or not using our preset endpoints (Sciahbasi et al15), and 3 were excluded because they were post hoc RCTs (TACTICS-TIMI-18,2 PURSUIT,16 and ACUITY17). After the exclusion analysis, a total of 8 RCTs with 5761 patients were eligible for review.9-11,18-22 The earliest trial included was published in 2003. The inter-reviewer agreement on study eligibility was 100%.
Study characteristics. Supplementary Table 1 (available at www.invasivecardiology.com) describes the methodological quality of the RCTs. Table 1 summarizes the main features of the included trials. The longest follow-up duration was 12 months. Table 2 presents the characteristics of all trials included in our systematic analysis. At each time cut-off, there were no differences in the distributions of age, sex, and the proportion of patients with diabetes and hypertension. Established risk factors for ischemic heart disease (diabetes, hypertension, hyperlipidemia) were prevalent in the study populations. Cardiac disease history was well matched among the treatment arms, including previous MI, previous PCI, and performed coronary artery bypass graft (CABG). All patients received optimal medical treatment, and no
differences were found in medication use, including angiotensin-converting enzyme inhibitors or angiotensin II receptor blockers, beta-blockers, and statins, among the groups. No thrombolytic therapies were used. The doses of antiplatelet and antithrombolytic treatment varied (P>.05) (Table 2). Time to angiography was based on time from symptoms to hospital admission or from randomization to angiography.
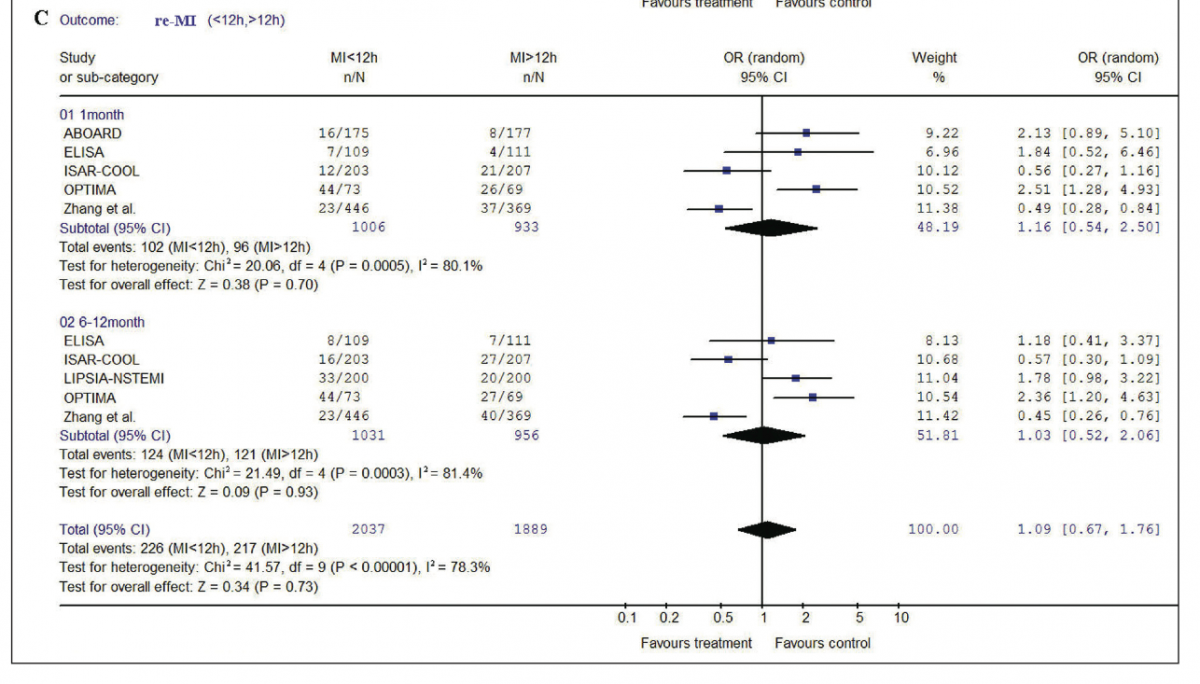
Meta-analysis. In the meta-analysis (Table 3), no statistically significant differences were detected among time points for death or stroke. Re-MI (Figure 2) was dramatically lower in the >2 hour group (81/515) than in the <2 hour group (137/521) (OR, 2.15;
95% CI, 1.53-3.02; P<.001; I2 = 0%) (Figure 2D). It seemed that there was no benefit to patients with NSTEACS undergoing immediate (<2 hour) angiography and that it might even be harmful. We then set the cut-off time to the mean of 3 hours and thus included ISAR-COOL. After inputting ISAR-COOL, no significant differences were found between the <3 hour and >3 hour groups (OR, 1.38; 95% CI, 0.79-2.43; P=.26; I2 = 75%) (Figure 2E), again indicating that extremely early angiography, such as within 2 hours, might not benefit patients regarding re-MI. For other time points, including <48 hours vs >48 hours, <24 hours vs >24 hours, and <12 hours vs >12 hours, no differences were observed (Figures 2A-2C).
The results suggested that no benefit was observed within 48 hours, compared to after 48 hours
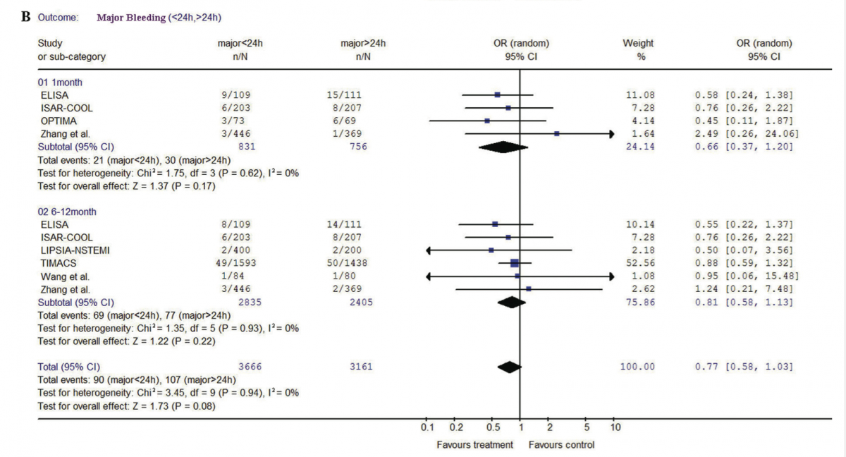
(Figure 3A). Major bleeding events began to show a trend toward decreasing within 24 hours (OR 0.77; 95% CI, 0.58-1.03; P=.08; I2 = 0%) (Figure 3B), and significantly fewer bleeding events were observed when angiography was performed within 12 hours, compared to after 12 hours (OR, 0.65; 95% CI, 0.44-0.96; P=.03; I2 = 0%) (Figure 3C). As for the very early group (<2 hours vs >2 hours), fewer major bleeding events were not observed in those patients who had angiography <2 hours (OR, 0.61; 95% CI, 0.28-1.30; P=.20; I2 = 0%) (Figure 3D).
Sensitivity analysis and publication bias. Because Figure 2 showed moderate heterogeneity, a sensitivity analysis was performed. When compared with >3 hours, the P-value of the angiography
<3 hours group changed from .26 with ISAR-COOL to <.05 without ISAR-COOL, and the I2 changed from 72.9% with ISAR-COOL to 0% without ISAR-COOL. Without ISAR-COOL, immediate
angiography (<2 hours) did not provide any benefits regarding re-MI and might even be harmful. The exclusion of other trials did not result in any differences.
The assessment of publication bias using Egger tests showed that no publication bias existed among the trials included for the analyzed endpoints.
Discussion
We performed a time-segment comparison meta-analysis, and the findings are as follows: (1) immediate angiography (<2 hours) was shown to incur greater risk of re-MI; (2) a decreased trend in major bleeding events was observed within 24 hours, and a significant reduction was found within 12 hours, but no further benefits were shown with angiography within 2 hours.
The trials included in our meta-analysis were all RCTs; we excluded TACTICS-TIMI-18,2 PURSUIT,16 and ACUITY,17 which were RCTs but were post hoc analyses. All of the trials were published after 2003 and applied early use of intensive antithrombotic treatment, together with early angiography;
thus, the results indicated contemporary NSTEACS status.
The latest ACCF/AHA guideline considered the “early” time period to be within the first 24 hours.6 Correspondingly, the ESC suggested early intervention, preferably within 72 hours of admission and within 12-24 hours in high-risk patients.7 The reason for advocating angiography within 24 hours is that expediting intervention can reduce antithrombotic treatment use and the accompanying increased risk of bleeding.23
Our analysis indicates that for patients at moderate-to-high risk for NSTEACS, early intervention did not bring any benefits in terms of death or stroke. An early intervention benefit could be found regarding events of major bleeding. With intensive antithrombotic treatment, major bleeding events did not increase. Within 24 hours, the bleeding odds began to show a trend toward decreasing; within 12 hours, the major bleeding events decreased significantly, suggesting that patients at high
risk for bleeding might benefit from angiography within 12 hours. As for immediate angiography (<2 hours), major bleeding events were not found to decrease further. At the same time, angiography within 2 hours was found to be associated with a considerably increased rate of re-MI.
Our results are consistent with the results of Sanchez et al,24 who reported no mortality or re-MI benefit in the early angiography group, although major bleeding events were shown to be significantly reduced by early intervention. Our results, furthermore, provide for the first time a clearer time profile for each observed parameter.
Since there was no higher risk in the <2 hours group overall (data not shown), we postulate that
PCI <2 hours was harmful on re-MI due to the insufficient antiplatelet effect. The intensity of antiplatelet therapy before PCI is an important determinant of ischemic complications. However, the current practice of antiplatelet regimen is far from optimal to meet the need of fast action. Antiplatelet agents (especially the loading dose) are very important for NSTEMI. However, even with 600 mg clopidogrel loading dose, the full antiplatelet effect of the drug can only be achieved after 2 hours.25 This may explain why there is an early hazard phenomenon (re-MI rate) observed in our meta-analysis. Cangrelor, a new, potent, intravenous, adenosine diphosphate receptor antagonist that acts rapidly and has quickly reversible effects, was studied in the CHAMPION PHOENIX trial.26 Cangrelor significantly reduced the rate of ischemic events, including stent thrombosis, during PCI, with no significant increase in
severe bleeding. Such a rapid and reversible antagonist may have the promise to lower the early re-MI rate and impact the management of NSTEMI patients.
Here, we did not use ischemia or revascularization rates as endpoints. We believe it might have been difficult to define and compare these concepts for each time segment. For the same reason, enzymatic changes were also not included.
Regarding prognosis, we propose that it is better to place emphasis first on pharmacological stabilization in acute patients with NSTEACS and then on the optimal timing of angiography and potential PCI in medically stabilized high-risk patients. Medication and timing should be determined on an individual basis, depending on the patient’s risk profile and clinical course. Based on current medical treatment, 2-12 hours may be the ideal window to allow pharmacologic therapy to prevent re-MI but not allow a sufficient window for bleeding to develop.
Study limitations. Some of the analyses had moderate between-trial heterogeneity. From the sensitivity analysis, ISAR-COOL was found to be the primary contributor to this heterogeneity. In ISAR-COOL, the trial included a medium number of patients, and the trial included very early and very late angiography groups, which might have accounted for its heterogeneity. Secondly, our findings might have been due to study sizes, and differences in the definition of outcomes or the use of antiplatelet and antithrombotic treatment. Moreover, the timing of randomization was different in OPTIMA than in other trials included in the meta-analysis, and patients with NSTEACS who did not need PCI were selectively excluded from the study. However, after we excluded OPTIMA, no significant differences were found regarding the selected endpoints.
Conclusion
Based on current medical treatment, 2-12 hours may be the ideal window to allow pharmacologic therapy to prevent re-MI, but not allow a sufficient window for bleeding to develop.
References
- Damman P, van Geloven N, Wallentin L, et al. Timing of angiography with a routine invasive strategy and long-term outcomes in non-ST-segment elevation acute coronary syndrome: a collaborative analysis of individual patient data from the FRISC II (Fragmin and Fast Revascularization During Instability in Coronary Artery Disease), ICTUS (Invasive Versus Conservative Treatment in Unstable Coronary Syndromes), and RITA-3 (Intervention Versus Conservative Treatment Strategy in Patients with Unstable Angina or Non-ST Elevation Myocardial Infarction) trials. JACC Cardiovasc Interv. 2012;5(2):191-199.
- McCullough PA, Gibson CM, Dibattiste PM, et al. Timing of angiography and revascularization in acute coronary syndromes: an analysis of the TACTICS-TIMI-18 trial. J Interv Cardiol. 2004;17(2):81-86.
- Damman P, Wallentin L, Fox KA, et al. Long-term cardiovascular mortality after procedure-related or spontaneous myocardial infarction in patients with non-ST-segment elevation acute coronary syndrome: a collaborative analysis of individual patient data from the FRISC, ICTUS, and RITA-3 trials (FIR). Circulation. 2012;125(4):568-576.
- Yusuf S, Zhao F, Mehta SR, Chrolavicius S, Tognoni G, Fox KK. Effects of clopidogrel in addition to aspirin in patients with acute coronary syndromes without st-segment elevation. N Engl J Med. 2001;345(7):494-502.
- Ring BL. Glycoprotein inhibitors and fibrinolysis in myocardial infarction. JAMA. 2000;284(24):3124-3125.
- Wright RS, Anderson JL, Adams CD, et al. 2011 ACCF/AHA focused update of the guidelines for the management of patients with unstable angina/ non-ST-elevation myocardial infarction (updating the 2007 guideline): a report of the American College of Cardiology Foundation/American Heart Association task force on practice guidelines. Circulation. 2011;123(18):2022-2060.
- Hamm CW, Bassand JP, Agewall S, et al. ESC guidelines for the management of acute coronary syndromes in patients presenting without persistent ST-segment elevation: the task force for the management of acute coronary syndromes (ACS) in patients presenting without persistent st-segment elevation of the European Society of Cardiology (ESC). Eur Heart J. 2011;32(23):2999-3054.
- Jiang M, He B, Zhang Q. Timing of early invasive intervention in patients with moderate to high risk acute coronary syndromes. J Interv Cardiol. 2012;25(1):10-18.
- Thiele H, Rach J, Klein N, et al. Optimal timing of invasive angiography in stable non-st-elevation myocardial infarction: The Leipzig immediate versus early and late percutaneous coronary intervention trial in NSTEMI (LIPSIA-NSTEMI trial). Eur Heart J. 2012;33(16):2035-2043.
- Zhang J, Qiao SB, Zhu J. [Outcome of patients with non-ST segment elevation acute coronary syndrome undergoing early or delayed intervention]. Zhonghua Xin Xue Guan Bing Za Zhi. 2010;38(10):865-869. [Article in Chinese].
- Wang SL, Sun F, Zhao X, et al. [Effect of percutaneous coronary intervention timing and cilostazol use on left ventricular remodeling in patients with non-ST elevation myocardial infarction]. Zhonghua Xin Xue Guan Bing Za Zhi. 2010;38(10):870-874. [Article in Chinese].
- Liberati A, Altman DG, Tetzlaff J, et al. The PRISMA statement for reporting systematic reviews and meta-analyses of studies that evaluate healthcare interventions: explanation and elaboration. BMJ. 2009;339:b2700.
- Higgins JP, Thompson SG, Deeks JJ, Altman DG. Measuring inconsistency in meta-analyses. BMJ. 2003;327(7414):557-560.
- McCullough PA, O’Neill WW, Graham M, et al. A time-to-treatment analysis in the medicine versus angiography in thrombolytic exclusion (MATE) trial. J Interv Cardiol. 2001;14(4):415-422.
- Sciahbasi A, Madonna M, De Vita M, et al. Comparison of immediate vs early invasive strategy in patients with first acute non-ST-elevation myocardial infarction. Clin Cardiol. 2010;33(10):650-655.
- Ronner E, Boersma E, Laarman GJ, et al. Early angioplasty in acute coronary syndromes without persistent ST-segment elevation improves outcome but increases the need for six-month repeat revascularization: an analysis of the pursuit trial. Platelet glycoprotein iib/iiia in unstable angina: receptor suppression using integrilin therapy. J Am Coll Cardiol. 2002;39(12):1924-1929.
- Sorajja P, Gersh BJ, Cox DA, et al. Impact of delay to angioplasty in patients with acute coronary syndromes undergoing invasive management: analysis from the ACUITY (acute catheterization and urgent intervention triage strategy) trial. J Am Coll Cardiol. 2010;55(14):1416-1424.
- Neumann FJ, Kastrati A, Pogatsa-Murray G, et al. Evaluation of prolonged antithrombotic pretreatment (“cooling-off” strategy) before intervention in patients with unstable coronary syndromes: a randomized controlled trial. JAMA. 2003;290(12):1593-1599.
- van ‘t Hof AW, de Vries ST, Dambrink JH, et al. A comparison of two invasive strategies in patients with non-ST elevation acute coronary syndromes: results of the early or late intervention in unstable angina (ELISA) pilot study. 2b/3a upstream therapy and acute coronary syndromes. Eur Heart J. 2003;24(15):1401-1405.
- Riezebos RK, Ronner E, Ter Bals E, et al. Immediate versus deferred coronary angioplasty in non-ST-segment elevation acute coronary syndromes. Heart. 2009;95(10):807-812.
- Mehta SR, Granger CB, Boden WE, et al. Early versus delayed invasive intervention in acute coronary syndromes. N Engl J Med. 2009;360(21):2165-2175.
- Montalescot G, Cayla G, Collet JP, et al. Immediate vs delayed intervention for acute coronary syndromes: a randomized clinical trial. JAMA. 2009;302(9):947-954.
- Tricoci P. Time to coronary angiography in patients with non-ST-segment elevation acute coronary syndrome: how fast should patients go to the catheterization laboratory? Curr Opin Cardiol. 2008;23(6):585-590.
- Sanchez PL, Fernandez-Aviles F. Catheterization laboratories open 24 hours a day, every day: does stable non-st-elevation acute coronary syndrome need the offer? Eur Heart J. 2012;33(16):1992-1995.
- Hochholzer W, Trenk D, Frundi D, et al. Time dependence of platelet inhibition after a 600-mg loading dose of clopidogrel in a large, unselected cohort of candidates for percutaneous coronary intervention. Circulation. 2005;111(20):2560-2564.
- Bhatt DL, Stone GW, Mahaffey KW, et al. Effect of platelet inhibition with cangrelor during PCI on ischemic events. N Engl J Med. 2013;368(14):1303-1313.
From the Department of Cardiology, Renji Hospital, Shanghai Jiaotong University, School of Medicine, Shanghai, China.
Funding: This work was supported by the Natural Science Foundation of China (Grant number 30800453 and 81270206), Shanghai Rising-Star Program (Grant number 10QA1404500), Natural Science Foundation of Shanghai (Grant number 12ZR1417600) and Shanghai Med-X program (Grant number YG2010MS29). The author gratefully acknowledges the support of the K.C. Wong Education Foundation.
Disclosure: The authors have completed and returned the ICMJE Form for Disclosure of Potential Conflicts of Interest. The authors report no conflicts of interest regarding the content herein.
Manuscript submitted June 17, 2013, provisional acceptance given July 8, 2013, final version accepted September 10, 2013.
Address for correspondence: Prof Ben He, Department of Cardiology, Renji Hospital, Shanghai Jiaotong University, School of Medicine, Shanghai, China 200127. Address: Building 1630, Dongfang Road, Shanghai, China. Email: heben1025@126.com


