In Vivo Comparison of Fourier-Domain Optical Coherence Tomography and Intravascular Ultrasonography
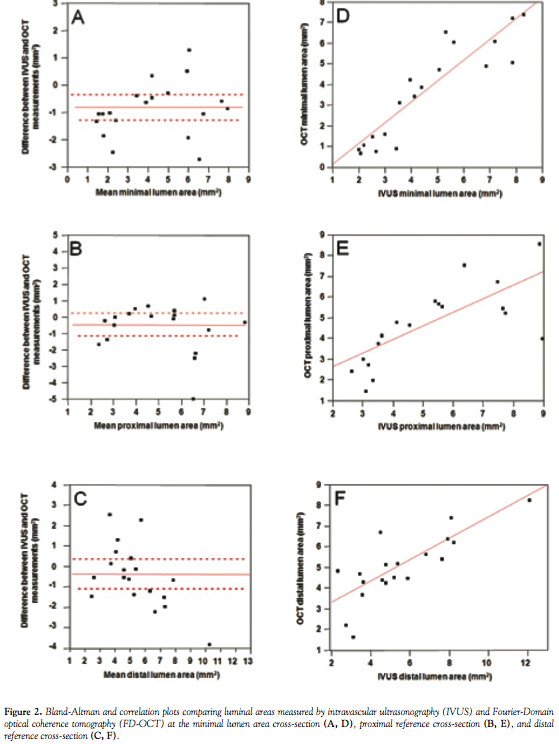
Abstract: Background. We sought to evaluate the findings of Fourier-domain optical coherence tomography (FD-OCT) and intravascular ultrasonography (IVUS) used for the in vivo assessment of coronary lesions. Methods. We identified 19 lesions in 15 patients undergoing percutaneous coronary intervention that were assessed by both FD-OCT and IVUS and compared the lumen area and maximum/minimum lumen diameter at the site of maximum stenosis and the proximal and distal reference cross-sections. Results. At the site of maximum stenosis, excellent correlation was found between FD-OCT and IVUS measurements: minimum lumen area (3.80 ± 2.36 mm2 and 4.60 ± 2.13 mm2, respectively; P=.002; Spearman’s ρ = 0.94), maximum lumen diameter (2.30 ± 0.79 mm and 2.54 ± 0.60 mm, respectively; P=.005; Spearman’s ρ = 0.93), and minimum lumen diameter (1.89 ± 0.69 mm and 2.24 ± 0.54 mm, respectively; P=.0001; Spearman’s ρ = 0.90). Weaker correlations were found between FD-OCT and IVUS measurements of the proximal reference lumen area (4.74 ± 1.86 mm2 and 5.16 ± 2.10 mm2, respectively; P=.33; Spearman’s ρ = 0.76) and distal reference lumen area (5.14 ± 1.60 mm2 and 5.47 ± 2.45 mm2, respectively; P=.144; Spearman’s ρ = 0.72). Conclusions. Excellent correlation was found in FD-OCT and IVUS luminal measurements at the site of maximum coronary stenosis with weaker correlation at the proximal and distal reference cross-sections. FD-OCT minimum lumen area measurements were smaller than the IVUS measurements.
J INVASIVE CARDIOL 2012;24:111–115
Key words: optical coherence tomography, intravascular ultrasonography, coronary angiography
_________________________________________________
Currently, the most commonly used intracoronary imaging modality is intravascular ultrasonography (IVUS), which uses ultrasound waves (20-45 MHz) to provide an image with axial resolution of ~80 µm and lateral resolution of ~200 µm.1 Optical coherence tomography (OCT) is a novel intravascular imaging technique that uses near-infrared light to provide an image with an axial resolution of 12-18 μm and lateral resolution of 20-90 µm.2 Due to higher resolution, OCT has been shown to be superior to IVUS in determining stent malapposition, dissection, tissue prolapse, and thrombus.3
The first-generation OCT systems (time domain OCT; TD-OCT) used an occlusion balloon to stop antegrade blood flow and saline infusion to allow light penetration through the blood. As a result, luminal measurements distal to the occlusion correlated with IVUS measurements, but were smaller.3,4 Frequency-domain OCT (FD-OCT) is now available and does not require balloon occlusion, as images are acquired during contrast injection. However, no study has yet examined the correlation between FD-OCT and IVUS measurements in vivo, which was evaluated in the present study.
Methods
Patients. Consecutive patients undergoing clinically indicated coronary angiography with coronary lesion imaging using both IVUS and FD-OCT between November 2010 and March 2011 were included in the present study. The study was approved by the institutional review board of our institution.
Coronary angiography. Coronary angiography was performed through femoral or radial access over a conventional 0.014˝ guidewire after injection of 200 μg of nitroglycerin. All lesions were imaged from at least two orthogonal views. Selection of anticoagulation, other adjunctive pharmacotherapy, and percutaneous coronary intervention technique and equipment were at the discretion of the operator.
OCT procedure. FD-OCT was performed with the 2.7 Fr C7 Dragonfly Intravascular Imaging Catheter (St. Jude Medical) during intracoronary administration of contrast (Figure 2). All OCT cross-sectional images were initially screened for quality assessment and excluded from analysis if any portion of the image was out of the screen, a side branch occupied >45° of the cross-section, or the image had poor quality caused by residual blood, sew-up artifact, or reverberation. The catheter was advanced distally to the target lesion, and automated mechanical pullback performed at a speed of 20 mm/s during contrast injection until 54 mm were imaged. OCT analysis was performed with LightLab Imaging software (St. Jude Medical), with calibration before each measurement. Maximal and minimal lumen diameter and lumen cross-sectional area were measured at the minimal lumen site and proximal and distal reference points (defined as the nearest points without significant plaque proximal and distal to the target lesion) using semi-automatic lumen contour detection. The longitudinal distances from the proximal and distal reference points to the target lesion were also noted. The intra- and interobserver reproducibility of the FD-OCT measurements was excellent (correlation coefficients, 0.99 to 1.00).
IVUS procedure. IVUS was performed using a 20 MHz or 45 MHz imaging catheter (Volcano Corporation) starting distal to the target lesion and using a motorized transducer pullback system at a speed of 0.5 or 1.0 mm/s (Figure 1). IVUS images were analyzed offline using IVUS Enhancer software (Indec Medical Systems). Each target lesion detected on IVUS was matched to the OCT image using a combination of side branches, stent edges, stenoses, and other available landmarks. Maximum lumen diameter, minimum lumen diameter, and lumen cross-sectional area were measured at the minimal lumen site and at a proximal and distal reference site (defined as the points at equal longitudinal distance from the minimal lumen site as the reference points on OCT). IVUS measurements were performed in accordance with the American College of Cardiology Clinical Expert Consensus document on IVUS.1 There was excellent intra- and interobserver reproducibility of the IVUS measurements (correlation coefficients, 0.93 to 1.00).
Statistical analysis. Continuous variables were summarized as mean ± standard deviation and compared using the Wilcoxon signed rank sum test and nominal variables were presented as percentages and compared using the chi-square or Fisher’s exact test. The Spearman’s ρ, linear regression, and Bland-Altman tests were performed to evaluate the correlation between OCT and IVUS. The Restricted Maximum Likelihood Method (REML)5 was performed to evaluate correlation between inter- and intraobserver reliability for OCT and IVUS. Analyses were conducted using JMP 8.0 (SAS Institute).
Results
During the study period, 15 consecutive patients underwent imaging of 19 lesions with both FD-OCT and IVUS. Clinical characteristics of the study patients, vessels that were imaged, and timing of imaging (before or after PCI) are summarized in Table 1. All patients except 1 were men, with a mean age of 64.2 ± 5.4 years. They had a high prevalence of smoking (60% had a smoking history), hypertension (100%), hyperlipidemia (93%), and diabetes (53%). They presented with stable angina (60%), unstable angina (33%), or non-ST segment elevation acute myocardial infarction (5%). The target lesion was in the left anterior descending (21%), circumflex (5%), right coronary artery (47%), or a saphenous vein graft (26%).
The FD-OCT and IVUS measurements at the target lesion and at the proximal and distal reference are summarized in Table 2 and Figure 2. Excellent correlation was found between the FD-OCT and IVUS measurements at the maximum stenosis cross-section: minimum lumen area (3.80 ± 2.36 mm2 and 4.60 ± 2.13 mm2, respectively; P=.002; Spearman’s ρ = 0.94), maximum lumen diameter (2.30 ± 0.79 mm and 2.54 ± 0.60 mm, respectively; P=.005; Spearman’s ρ = 0.93), and minimum lumen diameter (1.89 ± 0.69 mm and 2.24 ± 0.54 mm, respectively; P=.0001; Spearman’s ρ=0.90). Weaker correlations were found between FD-OCT and IVUS measurements of the proximal reference lumen area (4.74 ± 1.86 mm2 and 5.16 ± 2.10 mm2, respectively; P=.33; Spearman’s ρ = 0.76) and distal reference lumen area (5.14 ± 1.60 mm2 and 5.47 ± 2.45 mm2, respectively; P=.14; Spearman’s ρ = 0.72).
When patients were separated into two subgroups based on the angiographic severity of stenosis, the FD-OCT and IVUS measurement correlations were stronger in less severe lesions: Spearman’s ρ was 0.93 vs 0.82 for minimal lumen area among <90% and ≥90% angiographic diameter stenosis lesions; 0.79 vs 0.64, respectively, for proximal reference lumen area, and 0.77 vs 0.68, respectively, for distal reference lumen area.
Discussion
Our study suggests there is an excellent correlation between FD-OCT and IVUS luminal measurements at the cross-section of maximum stenosis, and good correlation at the proximal and distal reference cross-sections. However, the FD-OCT luminal area measurements at the site of maximum stenosis were smaller.
To the best of our knowledge, this is the first study that examines the correlation between FD-OCT and IVUS in vivo. Two prior in vivo TD-OCT and IVUS correlation studies3,4 showed smaller luminal area and diameter measurements at the target lesion, but were confounded by use of balloon occlusion during OCT image acquisition. The only study to compare OCT and IVUS in vivo without an occlusion balloon showed a 21.5% larger mean lumen area with IVUS, but this study was also performed with a TD-OCT system using 3 mm/s pullback.6
FD-OCT, which does not use an occlusion balloon, has been tested qualitatively in vivo7,8 and quantitatively ex vivo.9 Tahara et al showed larger luminal area and mean lumen diameter compared with IVUS in a phantom artery model. In contrast to Tahara et al, our study showed smaller measurements with FD-OCT, which cannot be attributed to use of an occlusion balloon as in TD-OCT. The OCT calibration was carefully checked in all OCT runs before performing measurements and both the inter-observer and intra-observer agreement were excellent. The most likely explanation for the smaller area and diameter measurements at the tightest lesion cross-sections is that the IVUS catheter due to its larger profile (3.2 Fr) gets caught in the lesion during pullback and does not acquire an image of the tightest cross-section. In contrast, the FD-OCT catheter, both because of its lower profile (2.7 Fr) and because it is moving inside a sheath (unlike the IVUS catheter most commonly used in our study, which is pulled back in its entirety), is more likely to image the narrowest lesion cross-section. Indeed, prior studies have reported significant wedging of the IVUS catheter into the plaque.4,10,11
Our study also found a weaker, albeit still robust, correlation between luminal measurements at the proximal and distal reference sites on OCT and IVUS, which can be explained by several factors. First, the potential delay of the IVUS catheter movement through severe occlusions may have altered the actual measurement site between FD-OCT and IVUS images. Indeed, the FD-OCT and IVUS measurement correlations were stronger in less severe lesions, which would be less likely to cause catheter motion alterations. Second, electrocardiographic gating of the IVUS images at end-diastole was not performed; electrocardiographic gating may improve the accuracy of measurements for vessels that are more distensible (ie, have less plaque),11-13 whereas luminal measurements in vessels with a heavier burden of atherosclerosis or with stents may or may not be affected by gating.14,15 This may be particularly important given that the pullback speeds for FD-OCT and IVUS are markedly different (20 mm/s vs 0.5-1.0 mm/s, respectively).
Study limitations. Our study has important limitations. It included a relatively small number of patients and lesions at a single center. Various IVUS systems (phased and rotational) with various pullback speeds were used and, as mentioned above, no electrocardiographic gating of the IVUS images was performed.
Conclusion
In summary, high correlation was observed between in vivo FD-OCT and IVUS measurements of coronary lesions. The clinical significance of the smaller measurements obtained by FD-OCT compared to IVUS at the maximum stenosis cross-section remains to be determined.
References
- Mintz GS, Nissen SE, Anderson WD, et al. American College of Cardiology clinical expert consensus document on standards for acquisition, measurement, and reporting of intravascular ultrasound studies (IVUS). A report of the American College of Cardiology Task Force on Clinical Expert Consensus Documents. J Am Coll Cardiol. 2001;37(5):1478-1492.
- Bezerra HG, Costa MA, Guagliumi G, Rollins AM, Simon DI. Intracoronary optical coherence tomography: a comprehensive review clinical and research applications. JACC Cardiovasc Interv. 2009;2(11):1035-1046.
- Kawamori H, Shite J, Shinke T, et al. The ability of optical coherence tomography to monitor percutaneous coronary intervention: detailed comparison with intravascular ultrasound. J Invasive Cardiol. 2010;22(11):541-545.
- Yamaguchi T, Terashima M, Akasaka T, et al. Safety and feasibility of an intravascular optical coherence tomography image wire system in the clinical setting. Am J Cardiol. 2008;101(5):562-567.
- Harville D. Maximum likelihood approaches to variance component estimation and to related problems. J Am Stat Assoc. 1977;72:320-338.
- Gonzalo N, Serruys PW, Garcia-Garcia HM, et al. Quantitative ex vivo and in vivo comparison of lumen dimensions measured by optical coherence tomography and intravascular ultrasound in human coronary arteries. Rev Esp Cardiol. 2009;62(6):615-624.
- Gonzalo N, Tearney GJ, Serruys PW, et al. Second-generation optical coherence tomography in clinical practice. High-speed data acquisition is highly reproducible in patients undergoing percutaneous coronary intervention. Rev Esp Cardiol. 2010;63(8):893-903.
- Stefano GT, Bezerra HG, Attizzani G, et al. Utilization of frequency domain optical coherence tomography and fractional flow reserve to assess intermediate coronary artery stenoses: conciliating anatomic and physiologic information. Int J Cardiovasc Imaging. 2011;27(2):299-308.
- Tahara S, Bezerra HG, Baibars M, et al. In vitro validation of new Fourier-domain optical coherence tomography. EuroIntervention. 2011;6(7):875-882.
- Alfonso F, Macaya C, Goicolea J, et al. Angiographic changes (Dotter effect) produced by intravascular ultrasound imaging before coronary angioplasty. Am Heart J. 1994;128(2):244-251.
- Alfonso F, Macaya C, Goicolea J, et al. Determinants of coronary compliance in patients with coronary artery disease: an intravascular ultrasound study. J Am Coll Cardiol. 1994;23(4):879-884.
- Nakatani S, Yamagishi M, Tamai J, et al. Assessment of coronary artery distensibility by intravascular ultrasound. Application of simultaneous measurements of luminal area and pressure. Circulation. 1995;91(12):2904-2910.
- Tsutsui H, Schoenhagen P, Crowe TD, et al. Influence of coronary pulsation on volumetric intravascular ultrasound measurements performed without ECG-gating. Validation in vessel segments with minimal disease. Int J Cardiovasc Imaging. 2003;19(1):51-57.
- Bruining N, von Birgelen C, de Feyter PJ, et al. ECG-gated versus nongated three-dimensional intracoronary ultrasound analysis: implications for volumetric measurements. Cathet Cardiovasc Diagn. 1998;43(3):254-260.
- Jensen LO, Thayssen P. Accuracy of electrocardiographic-gated versus nongated volumetric intravascular ultrasound measurements of coronary arterial narrowing. Am J Cardiol. 2007;99(2):279-283.
_________________________________________________
From UT Southwestern and VA North Texas Healthcare System, Dallas, Texas.
Disclosure: The authors have completed and returned the ICMJE Form for Disclosure of Potential Conflicts of Interest. Dr. Banerjee receives speaker honoraria from St. Jude Medical, Medtronic, Sanofi Aventis, Cordis, and Boehringer Ingelheim and research support from Boston Scientific and The Medicines Company. Dr. Brilakis receives a speaker honoraria from St Jude Medical and Terumo; research support from Abbott Vascular; salary support from Medtronic (spouse).
Manuscript submitted September 27, 2011, provisional acceptance given October 19, 2011, final version accepted October 24, 2011.
Address for correspondence: Emmanouil Brilakis, MD, PhD, VA North Texas Healthcare System, Cardiology, 4500 South Lancaster Road, Dallas, TX 75216. Email: esbrilakis@yahoo.com


